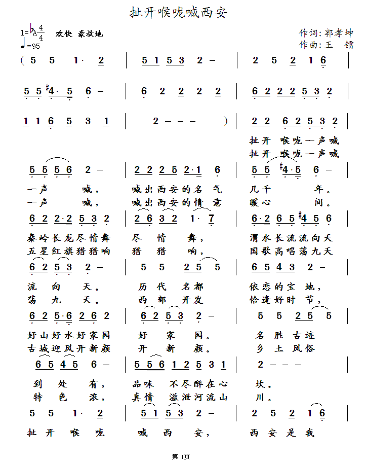
扯开喉咙喊西安简谱(王镭曲 郭孝坤词)_扯开喉咙喊西安民歌谱

虫虫简谱
虫虫简谱
管理员
22829
文章
0
粉丝
民歌谱扯开喉咙喊西安简谱(王镭曲 郭孝坤词)_扯开喉咙喊西安民歌谱已关闭评论136阅读模式
摘要扯开喉咙喊西安简谱,此版本的曲谱改编自歌曲扯开喉咙喊西安,王镭作曲,郭孝坤作词,《扯开喉咙喊西安》的编配,歌曲原调#G调,难度等级:难,评分:3分,简谱原文件PDF/GTP格式,大...

扯开喉咙喊西安简谱,此版本的曲谱改编自歌曲扯开喉咙喊西安,王镭作曲,郭孝坤作词,《扯开喉咙喊西安》的编配,歌曲原调#G调,难度等级:难,评分:3分,简谱原文件PDF/GTP格式,大小2.83M,扯开喉咙喊西安原创歌曲简谱,民族歌曲,国语歌曲谱,王镭曲 郭孝坤词,简谱来源:虫虫简谱整理。

扯开喉咙喊西安简谱(王镭曲 郭孝坤词)_扯开喉咙喊西安民歌谱

 
虫虫简谱
  • 本文由 虫虫简谱 发表于2025年6月17日 16:31:15
  • 转载请务必保留本文链接:https://www.cclm.net/30157.html