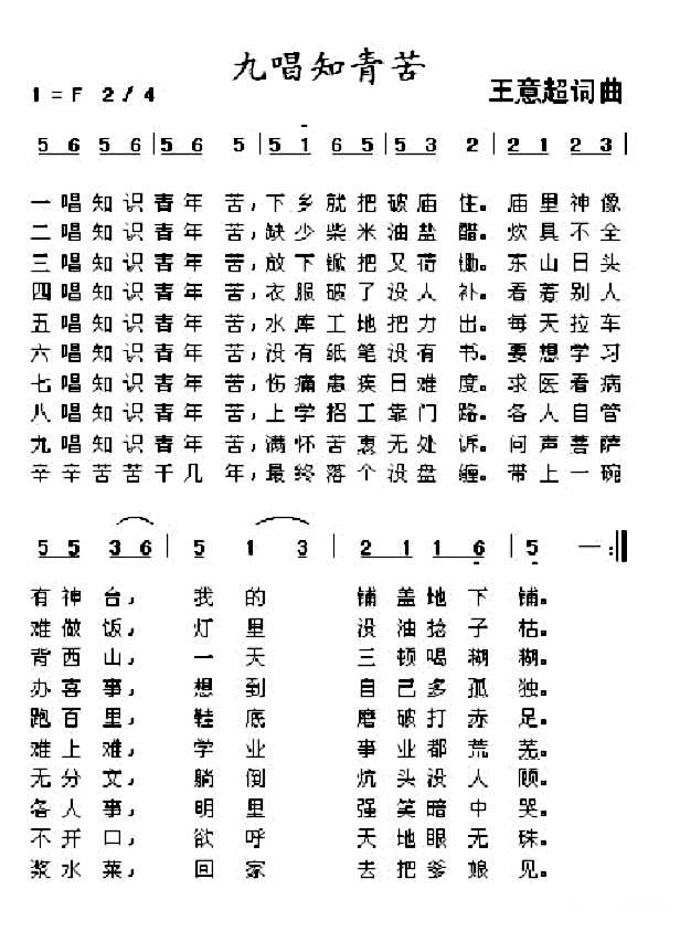
知青小唱简谱(又名:九唱知青苦)(王意超词曲)_知青小唱民歌谱

虫虫简谱
虫虫简谱
管理员
22829
文章
0
粉丝
民歌谱知青小唱简谱(又名:九唱知青苦)(王意超词曲)_知青小唱民歌谱已关闭评论160阅读模式
摘要知青小唱简谱,此版本的曲谱改编自歌曲知青小唱,王意超作曲,王意超作词,《知青小唱》的编配,歌曲原调#E调,难度等级:较难,评分:5分,简谱原文件PDF/GTP格式,大小1.54M,...

知青小唱简谱,此版本的曲谱改编自歌曲知青小唱,王意超作曲,王意超作词,《知青小唱》的编配,歌曲原调#E调,难度等级:较难,评分:5分,简谱原文件PDF/GTP格式,大小1.54M,知青小唱原创歌曲简谱,民族歌曲,国语歌曲谱,又名:九唱知青苦)(王意超词曲,简谱来源:虫虫简谱整理。

知青小唱简谱(又名:九唱知青苦)(王意超词曲)_知青小唱民歌谱

 
虫虫简谱
  • 本文由 虫虫简谱 发表于2025年7月13日 22:08:57
  • 转载请务必保留本文链接:https://www.cclm.net/32810.html