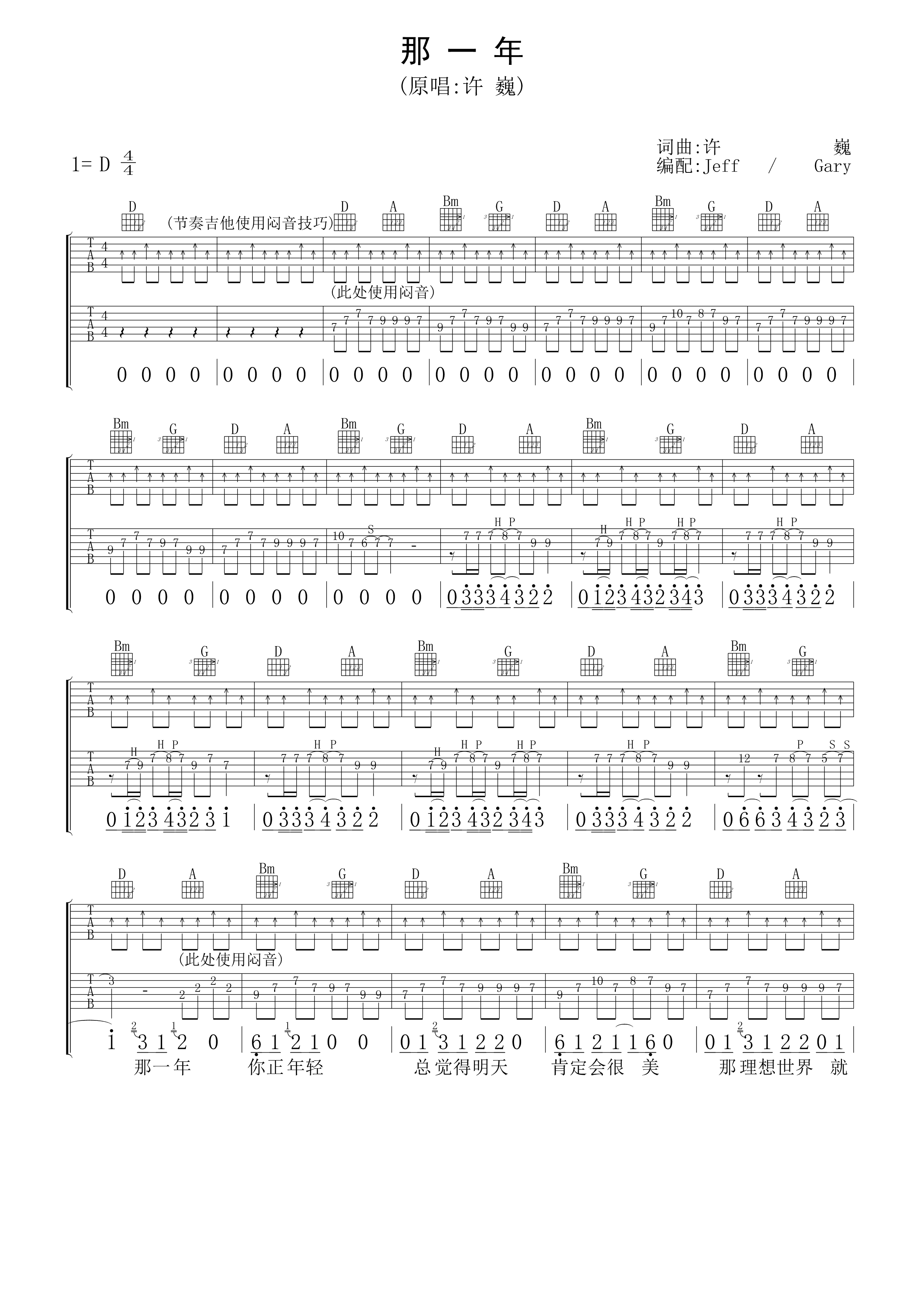
那一年吉他谱,此版本的曲谱改编自歌曲那一年,歌曲原调D调,4/4拍的节奏,《那一年吉他谱》按D调指法编配(Key=B#、Play=C、Capo=5),调弦方式:降D调弦,难度等级:较难,评分:5分,简谱原文件PDF/GTP格式,大小4.42M,变调夹不夹原歌曲的调式,曲调升高相应音程,采用原指法弹奏,大大降低了转调的难度。这首歌的特色在于,如果是双吉他配合演奏的话,效果会更好。此次分享的双吉他版本的《那一年》弹唱吉他谱,采用D调指法,横按虽然较多,但是不难,需要注意的是前奏的闷音部分。



那一年吉他谱,此版本的曲谱改编自歌曲那一年,歌曲原调D调,4/4拍的节奏,《那一年吉他谱》按D调指法编配(Key=B#、Play=C、Capo=5),调弦方式:降D调弦,难度等级:较难,评分:5分,简谱原文件PDF/GTP格式,大小4.42M,变调夹不夹原歌曲的调式,曲调升高相应音程,采用原指法弹奏,大大降低了转调的难度。这首歌的特色在于,如果是双吉他配合演奏的话,效果会更好。此次分享的双吉他版本的《那一年》弹唱吉他谱,采用D调指法,横按虽然较多,但是不难,需要注意的是前奏的闷音部分。


